首页
学院简介
办学优势
办学特色
实验实训
招生专业
本科招生
研究生招生
招生视频专栏
升学就业
国际合作
联系我们
校友风采
当前位置:
首页
>>
招生专业
>>
研究生招生
>> 正文
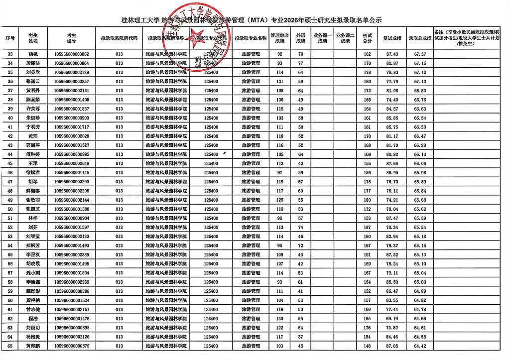
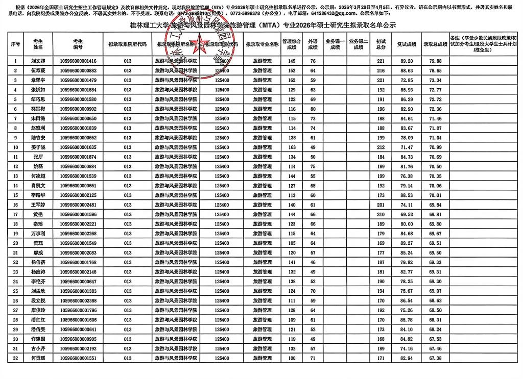
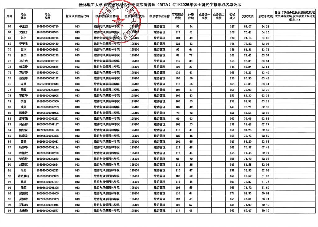
桂林理工大学旅游与风景园林学院旅游管理(MTA)专业2026硕士研究生拟录取名单公示
作者:
编辑:小华
发布时间:2026-03-29
点击数:
关闭
上一篇:旅游与风景园林学院2026年博士研究生进入考核名单公示
下一篇:桂林理工大学旅游与风景园林学院城乡规划学专业2026硕士研究生拟录取名单公示
18775380705